






导语
近日,美国心脏病学会官方期刊JACC亚洲介入子刊《JACC: Asia》发表了一项名为《Dynamic Changes of 3D Bending Angle Through the Cardiac Cycle: Implications With Bioresorbable Scaffold Performance》的研究。在该研究中,博动医疗的QFR®血管造影分析系统首次系统性揭示了冠状动脉在心动周期内的三维弯曲角度动态变化(ΔcBAmax),并发现其与生物可吸收支架(BRS)远期预后存在显著关联。这一发现为理解BRS并发症机制、优化支架设计及提升精准冠脉介入治疗(PCI)水平提供了全新的生物力学视角和关键量化指标。

生物可吸收支架(BRS)被誉为冠脉介入领域的“第四次革命”,旨在实现血管功能的生理性恢复。然而,其临床应用仍面临挑战,远期并发症(如支架血栓、靶血管不良事件TVF)的发生限制了其更广泛的应用。传统研究多聚焦于患者因素和操作技术,而血管自身在持续搏动的心动周期中所承受的动态生物力学应变(尤其是血管弯曲角度的显著变化)却长期缺乏有效评估手段和深入研究。
这项由维罗纳大学、爱尔兰高威大学和上海交通大学顶尖团队合作完成的研究,创新性地运用了博动医疗的QFR®系统。该系统对接受BRS植入患者的冠状动脉造影图像进行高精度三维重建与动态分析,能够精确量化舒张期与收缩期的血管最大三维弯曲角度(BAmax),并计算出心动周期内血管最大弯曲角度的动态变化值(ΔcBAmax),以及BRS植入后对该动态变化的限制程度,旨在建立血管力学变化与远期靶血管不良事件(TVF)之间的关系。



研究纳入了117例患者(164条血管),基于博动医疗系统的精准分析,得出了结论:
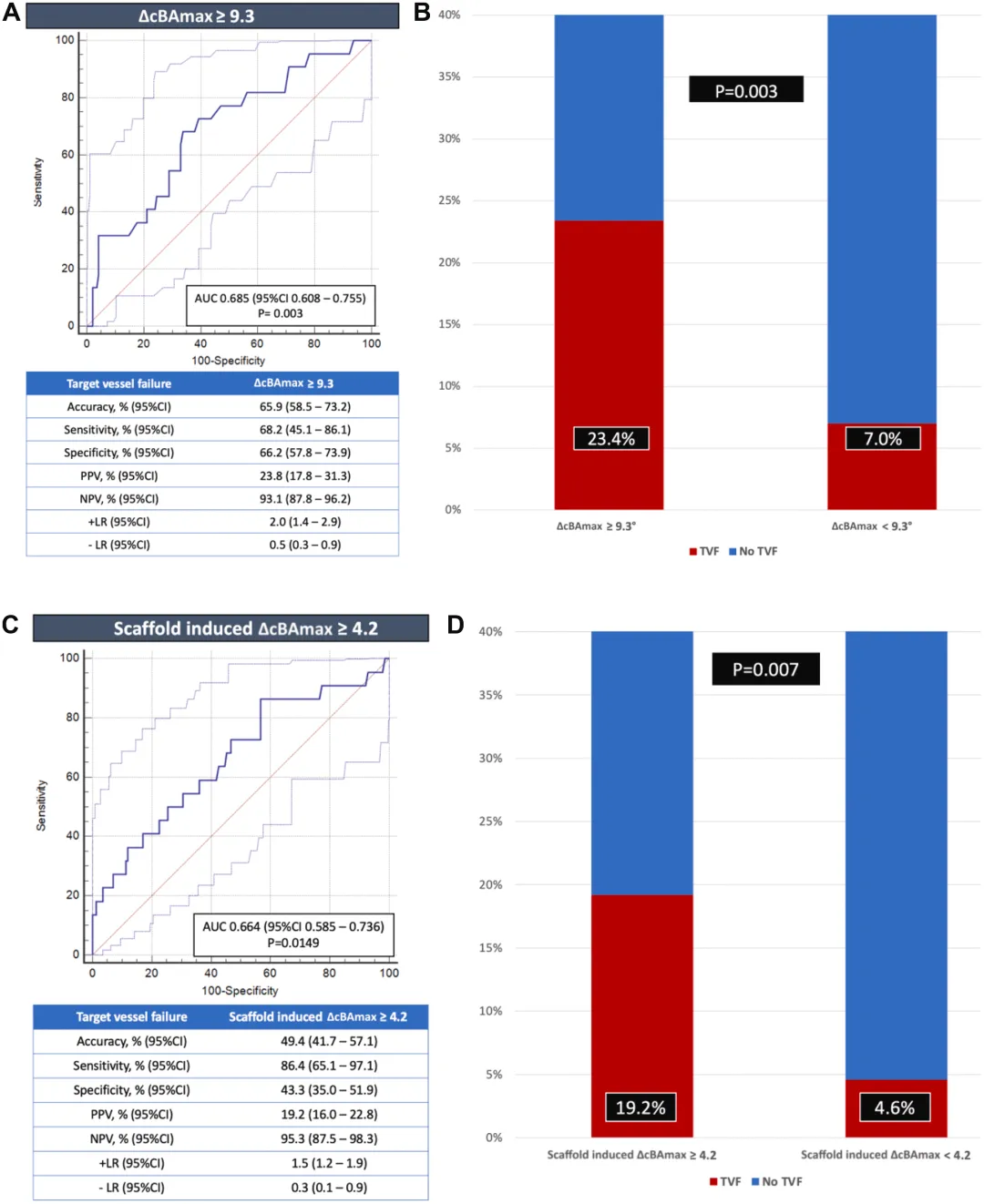
ΔcBAmax是TVF的强力预测因子: 发生TVF的患者组,在支架植入前的基线ΔcBAmax值显著高于无事件组(中位数11.4° vs 5.8°, P = 0.002)。这意味着血管在自然搏动中弯曲角度变化越剧烈的区域,植入BRS后发生不良事件的风险越高。植入BRS后,血管在舒张期和收缩期的弯曲角度均显著下降,表明支架限制了血管的自然顺应性。更重要的是,由BRS植入导致的ΔcBAmax限制程度,被证实是TVF的独立预测因子。研究显示,ΔcBAmax每增加10°,TVF风险增加65% (adjusted HR = 1.65, P = 0.01)。
血管力学环境具有可逆潜力: 长期随访发现,在BRS完全吸收后,血管的BAmax显著回升。这提示血管的生物力学环境具有一定可塑性,为未来设计兼具良好支撑性和顺应性的新一代BRS带来了希望。




BRS植入位点选择新标准: 选择BRS植入位置时,仅依赖传统解剖学或血流动力学(如FFR)评估已不够充分。必须将血管在心动周期中的动态弯曲特性(ΔcBAmax)纳入评估体系。高ΔcBAmax区域可能是BRS植入的相对禁忌或需要特别谨慎评估的区域。
指导未来BRS设计优化: 理解ΔcBAmax与预后的关系,为设计更能适应血管自然弯曲动态的新型BRS提供了明确的生物力学优化方向(如材料、结构设计),目标是最大限度减少对血管自然运动的限制。
推动PCI决策迈向“虚拟化”与个体化: 博动医疗的QFR®(定量血流分数)系统,作为全球领先的冠脉功能学评估平台,已成功整合了基于造影的冠脉三维几何与弯曲角度动态分析能力。这意味着,在PCI手术前的“虚拟PCI”规划阶段,医生即可一站式获取病变的生理功能学信息(QFR值)和关键的生物力学信息(ΔcBAmax等)。这种功能学与生物力学的双维度评估,能更精准地筛选适合BRS的患者和病变,优化支架尺寸、落脚点选择和植入策略,最终实现真正个体化的精准冠脉介入治疗。


此项重要研究的成果,充分彰显了博动医疗QFR®系统在揭示冠脉复杂生物力学特性方面的强大能力。所发现的冠脉弯曲角度动态变化参数(ΔcBAmax),不仅为理解BRS性能提供了关键洞见,更是未来优化支架设计和提升PCI疗效的核心参数之一。
博动医疗始终致力于通过技术创新推动心血管精准诊疗的发展。 我们领先的QFR®系统,现已无缝整合了冠脉三维几何重建、功能学评估(QFR),微循环评估(AMR),冠脉血流储备(CFR)以及包括斑块稳定性评估(RWS)、弯曲角度动态变化(ΔcBAmax)在内的生物力学评估模块。这种整合为临床医生提供了前所未有的全面视野,使临床医生在导管室外的"虚拟PCI”规划阶段就能综合考虑病变的功能状态和生物力学环境,极大地优化支架选择和植入方案,最终改善患者预后,特别是提升BRS等创新器械的应用效果。
我们相信,功能学与生物力学的结合,是冠脉介入治疗迈向更高精度和个体化的必然趋势。博动医疗将继续深耕于此,为全球医生和患者提供更先进、更全面的精准诊疗解决方案。


参考文献:
Fezzi S, Huang J, Sole PaD, Ding D, Sarai A, Tavella D, Pesarini G, Scarsini R, Wijns W, Tu S, Ribichini FL. Dynamic Changes of 3D Bending Angle Through the Cardiac Cycle: Implications With Bioresorbable Scaffold Performance. JACC: Asia, 2025. DOI: 10.1016/j.jacasi.2025.05.012
